HSE

مدیریت هوشمند انرژی (EMS) چیست؟

سامانه مدیریت هوشمند انرژی (EMS) یک سیستم یکپارچه سخت‌افزاری و نرم‌افزاری است که با نظارت، تحلیل و کنترل مصرف انرژی در ساختمان‌ها، صنایع و شبکه‌های توزیع، بهینه‌سازی مصرف و کاهش هزینه‌ها را امکان‌پذیر می‌سازد. این سامانه با جمع‌آوری اطلاعات از تجهیزات، حسگرها و شبکه برق، الگوهای مصرف را شناسایی کرده و با اجرای تصمیمات مدیریتی یا خودکار، بهره‌وری انرژی را افزایش می‌دهد.


اهداف اصلی EMS

  • کاهش مصرف انرژی و هزینه‌های مرتبط
  • افزایش بهره‌وری و استفاده بهینه از منابع
  • کاهش انتشار گازهای گلخانه‌ای و کمک به پایداری محیط زیست
  • ایجاد مدیریت قابل‌پایش، مستمر و داده‌محور
  • حمایت از تصمیم‌گیری‌های راهبردی در حوزه انرژی

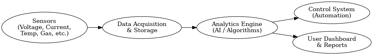
اجزای اصلی سیستم مدیریت هوشمند انرژی

1. سنسورها و اندازه‌گیرها: ثبت لحظه‌ای ولتاژ، جریان، دما، رطوبت، حضور افراد و شرایط محیطی

2. واحد پردازش و تحلیل: نرم‌افزار EMS برای تحلیل داده‌ها، ساخت گزارش و پیش‌بینی الگوهای مصرف

3. رابط کاربری و داشبورد مدیریتی: امکان مشاهده و کنترل مصرف از راه دور

4. عملگرها و سیستم‌های کنترلی: دستوردهی خودکار برای خاموش/روشن‌کردن تجهیزات یا تنظیم مصرف


نحوه عملکرد EMS

سیستم ابتدا داده‌های مصرف انرژی را در زمان واقعی جمع‌آوری کرده، سپس با استفاده از الگوریتم‌ها و مدل‌های تحلیلی، نقاط اتلاف انرژی را شناسایی می‌کند. در ادامه بر اساس سیاست‌های تعریف‌شده، اعمال مدیریتی مانند کاهش بار، زمان‌بندی تجهیزات، اتصال منابع تولید پراکنده (مثلاً انرژی خورشیدی) و مدیریت ذخیره‌سازی انرژی انجام می‌شود.


مزایا و کاربردها

  • در ساختمان‌ها و مجتمع‌ها: کنترل هوشمند روشنایی، سیستم تهویه و تجهیزات الکتریکی
  • در صنعت و کارخانه‌ها: کاهش پیک مصرف، افزایش بهره‌وری خط تولید و نظارت بر سلامت تجهیزات
  • در شبکه‌های برق (هوشمندسازی شبکه): مدیریت سمت تقاضا، کاهش بار در ساعات اوج و اتصال منابع انرژی تجدیدپذیر

نتیجه این اقدامات، کاهش هزینه‌ها، افزایش عمر تجهیزات و ارتقاء پایداری انرژی در مقیاس‌های کوچک تا بزرگ است.


مدیریت هوشمند انرژی، ابزاری کلیدی برای گذار به آینده پایدار و دیجیتالی انرژی است. این سامانه با تبدیل داده به تصمیم، نه‌تنها باعث صرفه‌جویی اقتصادی می‌شود، بلکه برای سازگاری با تغییرات اقلیمی و توسعه فناوری‌های نو مانند شبکه هوشمند و انرژی‌های پاک ضروری است.


کاربردهای EMS در پتروشیمی‌ها

1) پایش و اندازه‌گیری انرژی در خطوط تولید
ثبت و تحلیل مصرف انرژی در واحدهایی مثل کراکرها، ریفورمرها، کولینگ‌تاورها و کمپرسورها برای شناسایی نقاط پرت انرژی و استانداردسازی مصرف.

2) مدیریت همزمان چند نوع انرژی
EMS کمک می‌کند تا مصرف برق، سوخت، بخار و آب صنعتی به‌صورت یکپارچه مدیریت و بهینه شود.

3) کاهش پیک مصرف و هزینه انرژی
با برنامه‌ریزی هوشمند تجهیزات و زمان‌بندی روشن/خاموش شدن واحدهای کم‌اهمیت در زمان اوج مصرف، هزینه‌های برق و سوخت کاهش می‌یابد.

4) مانیتورینگ سلامت تجهیزات حیاتی
تحلیل داده‌های مصرف کمپرسورها، پمپ‌ها و کوره‌ها می‌تواند نشانه‌های اولیه خرابی یا راندمان پایین را آشکار کرده و از توقف تولید جلوگیری کند.

5) پشتیبانی از پروژه‌های کاهش آلایندگی و کربن
EMS با ارائه گزارش‌های دقیق، امکان اندازه‌گیری و کاهش شدت انرژی و انتشار CO₂ را فراهم می‌کند و برای اخذ استانداردهای جهانی (ISO 50001) ضروری است.


کاربردهای EMS در پالایشگاه‌ها

1) بهینه‌سازی شبکه بخار و تولید حرارت
مدیریت تولید و مصرف بخار در بویلرها، بازیافت حرارت و جلوگیری از اتلاف انرژی در خطوط انتقال.

2) کنترل و تحلیل مصرف کوره‌ها و مشعل‌ها
پایش لحظه‌ای راندمان احتراق و تنظیم هوشمند نسبت سوخت به هوا برای کاهش مصرف و کاهش آلایندگی.

3) تشخیص نشت انرژی و اتلاف حرارتی
با داده‌کاوی و تحلیل تصویربرداری حرارتی، نقاط نشتی بخار و گرما شناسایی و رفع می‌شوند.

4) هماهنگ‌سازی انرژی با برنامه تولید
EMS امکان پیش‌بینی نیاز انرژی در واحدهای عملیاتی را فراهم کرده و برنامه تولید را با تأمین انرژی هماهنگ می‌کند.

5) یکپارچگی با سیستم‌های ایمنی و کنترل صنعتی (DCS / SCADA)
به کمک این سیستم‌ها، EMS قادر است تصمیمات کنترلی را به‌صورت خودکار اجرا و رفتار انرژی تجهیزات را در شرایط اضطراری مدیریت کند.


HSE

خروجی و اثرات EMS در این صنایع

توضیح نتیجه
کاهش ۵ تا ۱۵٪ مصرف انرژی با عملیات کنترل و مانیتورینگ صرفه‌جویی مستقیم انرژی
کاهش خرابی تجهیزات و توقف‌های ناخواسته افزایش پایداری تولید
مدیریت مصرف سوخت و کنترل انتشار گازهای گلخانه‌ای کاهش آلایندگی
مسیر دریافت ISO 50001 و گزارش‌دهی ESG پشتیبانی از استانداردهای انرژی

ارتباط با پرشیا

 تهران - خیابان استاد نجات الهی - خیابان اراک - پلاک 27 - ساختمان تاسیسات دریایی ایران
 خرمشهر - اداره بنادر و کشتیرانی - یارد یک شرکت مهندسی و ساخت تاسیسات دریایی - ساختمان انفورماتیک
 info@persiatc.com

 53504202 061 - 82849500 021

  زمان کاری

شنبه تا چهارشنبه - 8 الی 16:45

© 2026 | کلیه حقوق این وب سایت متعلق به شرکت ارتباطات پرشیا می باشد.